Упр.32.31 ГДЗ Мерзляк 10 класс Углубленный уровень (Алгебра)
Решение #1

Рассмотрим вариант решения задания из учебника Мерзляк, Номировский, Поляков 10 класс, Просвещение:
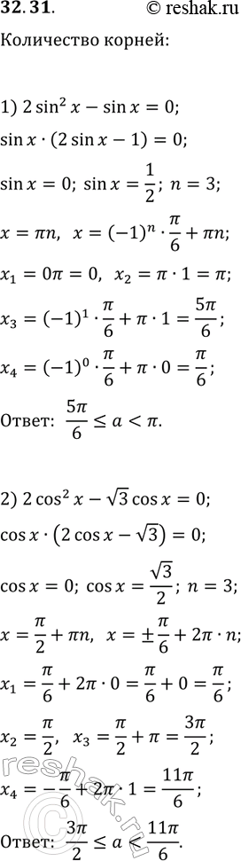
32.31. При каких положительных значениях параметра а промежуток [0; а] содержит ровно три корня уравнения:
1) 2sin^2(x)-sin(x)=0; 2) 2cos^2(x)-v3cos(x)=0?
Похожие решебники
Популярные решебники 10 класс Все решебники
*размещая тексты в комментариях ниже, вы автоматически соглашаетесь с пользовательским соглашением