Упр.32.33 ГДЗ Мерзляк 10 класс Углубленный уровень (Алгебра)
Решение #1

Рассмотрим вариант решения задания из учебника Мерзляк, Номировский, Поляков 10 класс, Просвещение:
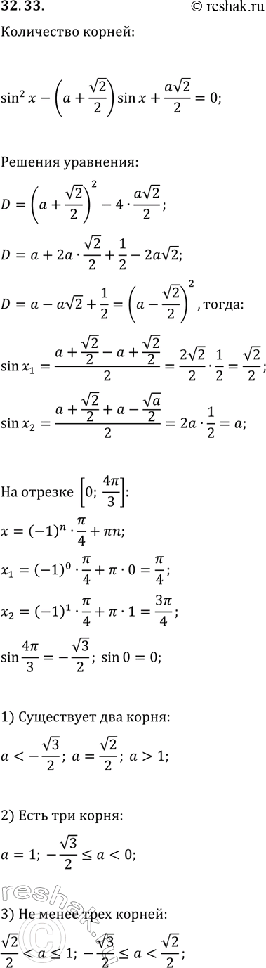
32.33. Определите, при каких значениях параметра а уравнение sin^2(x)-(a+v2/2)sin(x)+av2/2=0 имеет на промежутке [0; 4?/3]: 1) два корня; 2) три корня; 3) не менее трёх корней.
Похожие решебники
Популярные решебники 10 класс Все решебники
*размещая тексты в комментариях ниже, вы автоматически соглашаетесь с пользовательским соглашением