Упр.32.32 ГДЗ Мерзляк 10 класс Углубленный уровень (Алгебра)
Решение #1

Рассмотрим вариант решения задания из учебника Мерзляк, Номировский, Поляков 10 класс, Просвещение:
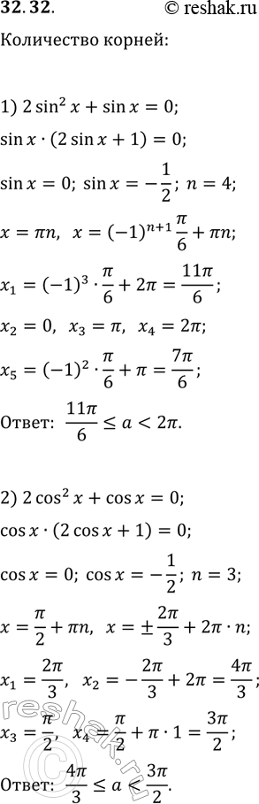
32.32. Определите, при каких положительных значениях параметра а промежуток [0; а] содержит ровно n корней уравнения:
1) 2sin^2(x)+sin(x)=0, n=4; 2) 2cos^2(x)+cos(x)=0, n=3.
Похожие решебники
Популярные решебники 10 класс Все решебники
*размещая тексты в комментариях ниже, вы автоматически соглашаетесь с пользовательским соглашением