Упр.3.57 ГДЗ Дорофеев Суворова 9 класс (Алгебра)
Решение #1

Рассмотрим вариант решения задания из учебника Дорофеев, Суворова, Бунимович 9 класс, Просвещение:
а) z - 1/z = 16/15;
б) x + 1/x = -5/2;
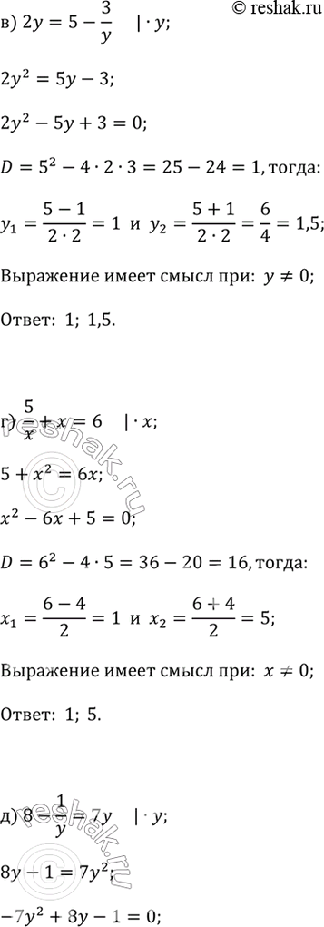
в) 2y = 5 - 3/y;
г) 5/x + x =6;
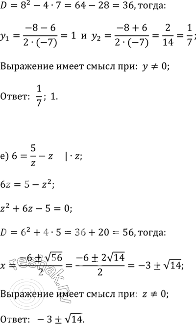
д) 8 - 1/y = 7y;
е) 6 = 5/z - z.
Популярные решебники 9 класс Все решебники
*К сожалению, временные проблемы с публикацией комментариев с мобильных устройств.