Упр.3.56 ГДЗ Дорофеев Суворова 9 класс (Алгебра)
Решение #1

Рассмотрим вариант решения задания из учебника Дорофеев, Суворова, Бунимович 9 класс, Просвещение:
а) 5/x = 8/(x + 1) + 1;
б) z/(z - 4) + 6/z = 1;
в) 1/(t - 6) + 3 = 10/t;
г) 4/(y - 2) - 3/y = 1/2;
д) y/(y - 1) + 6/(y + 1) = 4;
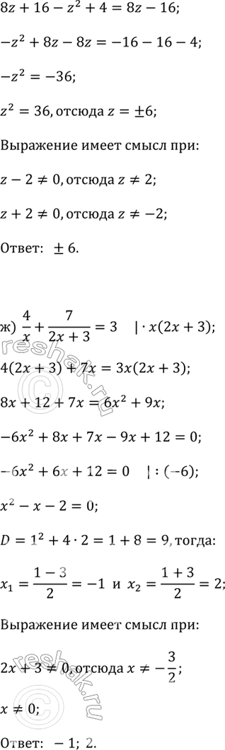
е) 8/(z - 2) - 1 = 8/(z + 2);
ж) 4/x + 7/(2x + 3) = 3;
з) 3/(2t - 1) = 1 - 4/(2t + 1).
Популярные решебники 9 класс Все решебники
*К сожалению, временные проблемы с публикацией комментариев с мобильных устройств.