Упр.3.52 ГДЗ Дорофеев Суворова 9 класс (Алгебра)
Решение #1

Рассмотрим вариант решения задания из учебника Дорофеев, Суворова, Бунимович 9 класс, Просвещение:
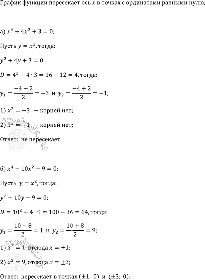
Определите, пересекает ли график функции у = f(x) ось х, и если да, то в каких точках:
а) f(x) = х^4 + 4Х^2 + 3;
б) f(х) = х^4 - 10х^2 + 9;
в) f(х) = х^3 - 5х^2 - 4х + 20;
г) f(х) = -х^3 + 6х^2 - 8х + 48.
Популярные решебники 9 класс Все решебники
*К сожалению, временные проблемы с публикацией комментариев с мобильных устройств.