Упр.3.54 ГДЗ Дорофеев Суворова 9 класс (Алгебра)
Решение #1

Рассмотрим вариант решения задания из учебника Дорофеев, Суворова, Бунимович 9 класс, Просвещение:
Действуем по алгоритму (395 — 398) Решите уравнение.
395.
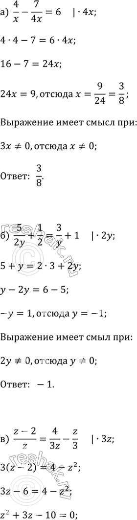
а) 4/x - 7/4x = 6;
б) 5/2y + 1/2 = 3/y + 1;
в) (z - 2)/z = 4/3z - z/3;
г) (y - 1)/y - 4/y^2 = 1;
д) 8/t^2 - (2 - t)/t = 2;
е) 4/15x - 1/5 = (2 - x)/3x.
Популярные решебники 9 класс Все решебники
*К сожалению, временные проблемы с публикацией комментариев с мобильных устройств.