Упр.3.55 ГДЗ Дорофеев Суворова 9 класс (Алгебра)
Решение #1

Рассмотрим вариант решения задания из учебника Дорофеев, Суворова, Бунимович 9 класс, Просвещение:
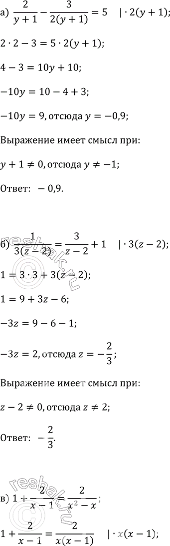
а) 2/(y + 1) - 3/2(y + 1) = 5;
б) 1/3(z - 2) = 3/(z - 2) + 1;
в) 1 + 2/(x - 1) = 2/(x^2 - x);
г) (x + 7)/(3x - 6) - (3x - 3)/(x - 2) = 1/3;
д) (y + 1)/(y - 1) = 2/(y^2 - y);
е) (3z - 1)/(4z + 12) + (z + 2)(z + 3) = 1/4.
Популярные решебники 9 класс Все решебники
*К сожалению, временные проблемы с публикацией комментариев с мобильных устройств.