Упр.3.43 ГДЗ Дорофеев Суворова 9 класс (Алгебра)
Решение #1

Рассмотрим вариант решения задания из учебника Дорофеев, Суворова, Бунимович 9 класс, Просвещение:
Решите уравнение, воспользовавшись приёмом разложения на множители:
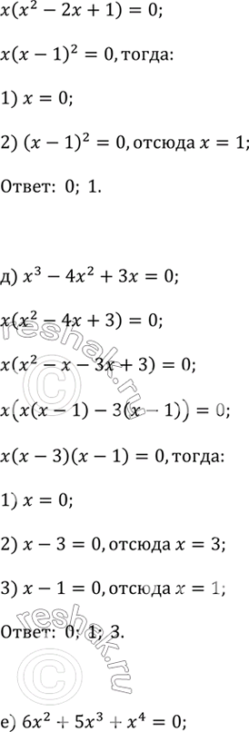
а) х^3 - 4х = 0; г) х^3 - 2х^2 + х = 0; ж) 16х^3 = х;
б) Зх + Зх^2 = 0; д) х^3 - 4х^2 + Зх = 0; з) х^3 + х = 2х;
в) 81х^2 - х^4 = 0; е) бх^2 + 5х^3 + х^4 = 0; и) 9х^2 = х^4.
Популярные решебники 9 класс Все решебники
*размещая тексты в комментариях ниже, вы автоматически соглашаетесь с пользовательским соглашением