Упр.3.45 ГДЗ Дорофеев Суворова 9 класс (Алгебра)
Решение #1

Рассмотрим вариант решения задания из учебника Дорофеев, Суворова, Бунимович 9 класс, Просвещение:
Найдите корни уравнения (386—387).
386.
а) Зх^3 - х^2 - 27х + 9 = 0;
б) 2х^3 + х^2 + 6х + 3 = 0;
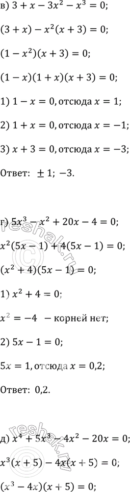
в) 3 + х - Зх^2 - х^3 = 0;
г) 5х^3 - х^2 + 20х - 4 = 0;
д) х^4 + 5х^3 - 4х^2 - 20х = 0;
е) х - х^2 + 2х^3 - 2х^4 = 0.
Популярные решебники 9 класс Все решебники
*К сожалению, временные проблемы с публикацией комментариев с мобильных устройств.