Упр.3.42 ГДЗ Дорофеев Суворова 9 класс (Алгебра)
Решение #1

Рассмотрим вариант решения задания из учебника Дорофеев, Суворова, Бунимович 9 класс, Просвещение:
Решите уравнение:
а) (2х - 1)(х - 5) - х(х - 5) = 0;
б) (4х - 3)(х + 1) = 2х(х + 1);
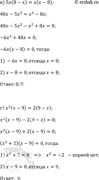
в) 5х(8 - х) = х(х - 8);
Г) х^2·(х - 9) = 2(9 - х).
Популярные решебники 9 класс Все решебники
*К сожалению, временные проблемы с публикацией комментариев с мобильных устройств.