Упр.3.38 ГДЗ Дорофеев Суворова 9 класс (Алгебра)
Решение #1

Рассмотрим вариант решения задания из учебника Дорофеев, Суворова, Бунимович 9 класс, Просвещение:
а) (x^2 - x)/2 - (x + 1)/3 = 1;
б) (t + 8)/8 - t = (1 - t^2)/4;
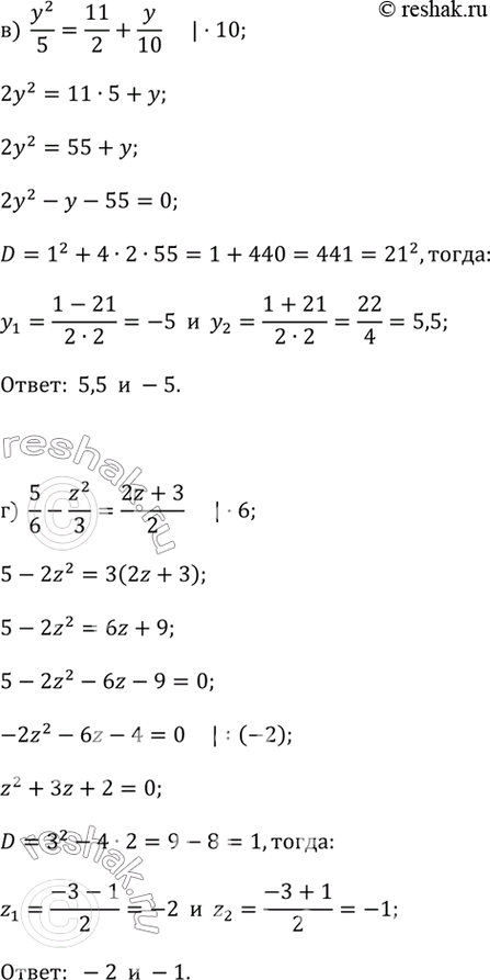
в) y^2/5 = 11/2 + y/10;
г) 5/6 - z^2/3 = (2z + 3)/2.
Популярные решебники 9 класс Все решебники
*К сожалению, временные проблемы с публикацией комментариев с мобильных устройств.