Упр.3.115 ГДЗ Дорофеев Суворова 9 класс (Алгебра)
Решение #1

Рассмотрим вариант решения задания из учебника Дорофеев, Суворова, Бунимович 9 класс, Просвещение:
Решите систему уравнений, воспользовавшись в качестве образца примером 3:
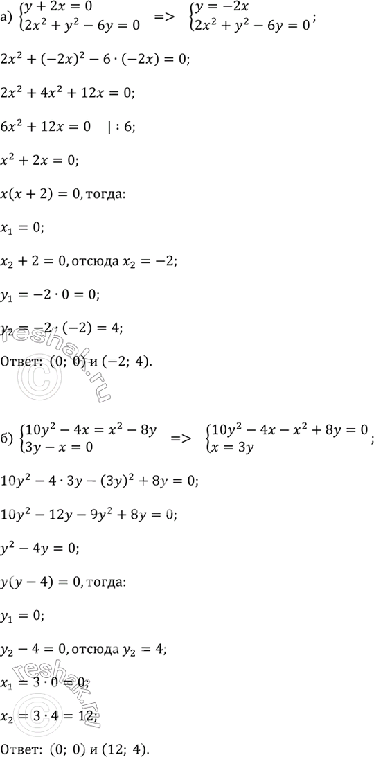
а) y + 2x = 0 и 2x^2 + y^2 - 6y = 0;
б) 10y^2 - 4x = x^2 - 8y и 3y - x = 0;
в) x - y = 3 и x^2 - xy - 2y^2 = 7;
г) y + x = -2 и x^2 + 3y^2 = 9 - xy;
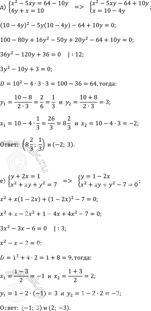
д) x^2 - 5xy = 64 - 10y и 4y + x = 10;
е) y + 2x = 1 и x^2 + xy + y^2 = 7;
ж) 2y = x^2 - 4x и 4y = 3x - 9;
з) 3x^2 + 2x = 3y и 6y = 30 + 12x.
Популярные решебники 9 класс Все решебники
*К сожалению, временные проблемы с публикацией комментариев с мобильных устройств.