Упр.295 ГДЗ Мерзляк 8 класс (Алгебра)
Решение #1
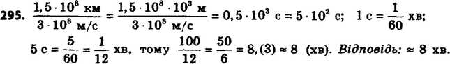
Решение #2
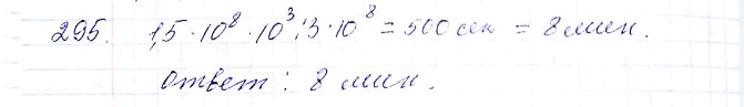
Решение #3

Рассмотрим вариант решения задания из учебника Мерзляк, Полонская, Якир 8 класс, Вентана-Граф:
295. Среднее расстояние от Земли до Солнца равно 1,5*10^8 км, а скорость света — 3*10^8 м/с. За сколько минут свет от Солнца достигнет Земли? Ответ округлите до единиц.
Похожие решебники
Популярные решебники 8 класс Все решебники
*размещая тексты в комментариях ниже, вы автоматически соглашаетесь с пользовательским соглашением