Упр.290 ГДЗ Мерзляк 8 класс (Алгебра)
Решение #1
Решение #2
Решение #3

Рассмотрим вариант решения задания из учебника Мерзляк, Полонская, Якир 8 класс, Вентана-Граф:
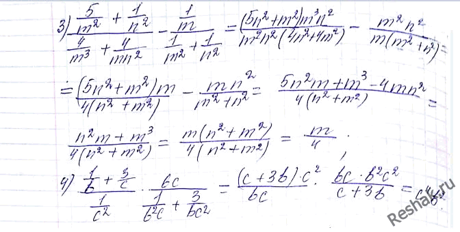
290. Упростите выражение:
1) (x^-2 - 1)2 - (x^-2 - 4)(x^-2 + 4);
2) (a^-2 - 10a^-1 b^-1 + 25b^-2) / (a^-1 - 5b^-1);
Похожие решебники
Популярные решебники 8 класс Все решебники
*размещая тексты в комментариях ниже, вы автоматически соглашаетесь с пользовательским соглашением