Упр.269 ГДЗ Мерзляк 9 класс (Алгебра)
Решение #1 (Учебник 2024)
Решение #2 (Учебник 2021)

Рассмотрим вариант решения задания из учебника Мерзляк, Полонская, Якир 9 класс, Просвещение:
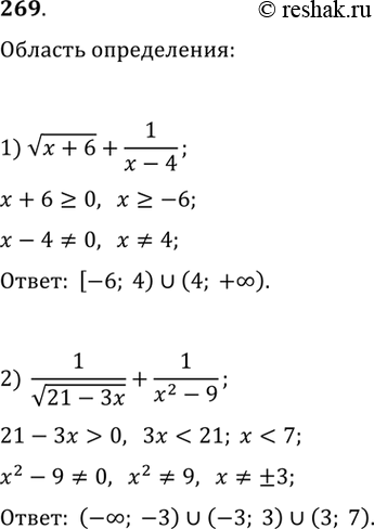
При каких значениях переменной имеет смысл выражение:
1) v(x+6)+1/(x-4); 2) 1/v(21-3x)+1/(x^2-9)?
Постройте график функции f(x) =
система
4/x, если х < -1,
x/4, если -1 <= х <= 1,
4/x, если х > 1.
Используя построенный график, укажите нули функции, её промежутки знакопостоянства, промежутки возрастания и промежутки убывания.
Похожие решебники
Популярные решебники 9 класс Все решебники
*К сожалению, временные проблемы с публикацией комментариев с мобильных устройств.