Упр.26.39 ГДЗ Мерзляк 10 класс Углубленный уровень (Алгебра)
Решение #1

Рассмотрим вариант решения задания из учебника Мерзляк, Номировский, Поляков 10 класс, Просвещение:
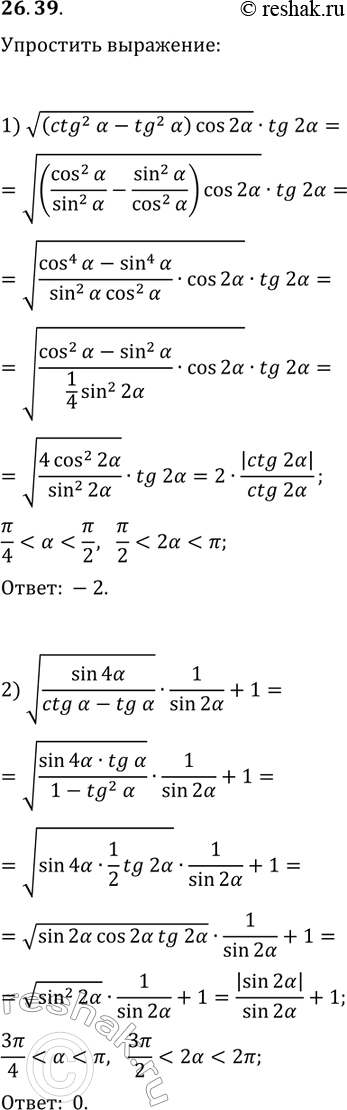
26.39. Упростите выражение:
1) v((ctg^2(?)-tg^2(?))cos(2?))·tg(2?), если ?/4 < ? < ?/2;
2) v(sin(4?)/(ctg(?)-tg(?)))·1/sin(2?)+1, если 3?/4 < ? < ?.
Похожие решебники
Популярные решебники 10 класс Все решебники
*размещая тексты в комментариях ниже, вы автоматически соглашаетесь с пользовательским соглашением