Упр.26.34 ГДЗ Мерзляк 10 класс Углубленный уровень (Алгебра)
Решение #1

Рассмотрим вариант решения задания из учебника Мерзляк, Номировский, Поляков 10 класс, Просвещение:
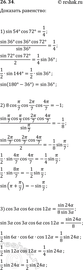
26.34. Докажите, что:
1) sin(54°)cos(72°)=1/4;
2) 8cos(?/7)cos(2?/7)cos(4?/7)=-1;
3) cos(3?)cos(6?)cos(12?)=sin(24?)/(8sin(3?)).
Похожие решебники
Популярные решебники 10 класс Все решебники
*размещая тексты в комментариях ниже, вы автоматически соглашаетесь с пользовательским соглашением