Упр.26.41 ГДЗ Мерзляк 10 класс Углубленный уровень (Алгебра)
Решение #1

Рассмотрим вариант решения задания из учебника Мерзляк, Номировский, Поляков 10 класс, Просвещение:
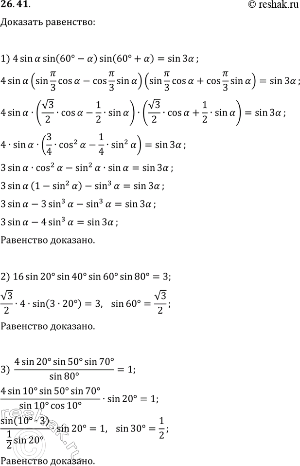
26.41. Докажите, что:
1) 4sin(?)sin(60°-?)sin(60°+?)=sin(3?);
2) 16sin(20°)sin(40°)sin(60°)sin(80°)=3;
3) (4sin(20°)sin(50°)sin(70°))/sin(80°)=1.
Похожие решебники
Популярные решебники 10 класс Все решебники
*размещая тексты в комментариях ниже, вы автоматически соглашаетесь с пользовательским соглашением