Упр.26.33 ГДЗ Мерзляк 10 класс Углубленный уровень (Алгебра)
Решение #1

Рассмотрим вариант решения задания из учебника Мерзляк, Номировский, Поляков 10 класс, Просвещение:
26.33. Докажите, что:
1) sin(18°)cos(36°)=1/4;
2) 8cos(?/9)cos(2?/9)cos(4?/9)=1;
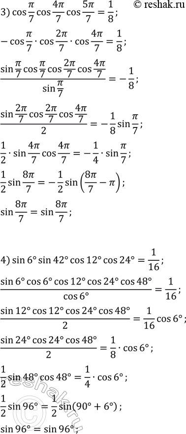
3) cos(?/7)cos(4?/7)cos(5?/7)=1/8;
4) sin(6°)sin(42°)cos(12°)cos(24°)=1/16.
Похожие решебники
Популярные решебники 10 класс Все решебники
*размещая тексты в комментариях ниже, вы автоматически соглашаетесь с пользовательским соглашением