Упр.26.40 ГДЗ Мерзляк 10 класс Углубленный уровень (Алгебра)
Решение #1

Рассмотрим вариант решения задания из учебника Мерзляк, Номировский, Поляков 10 класс, Просвещение:
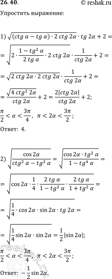
26.40. Упростите выражение:
1) v((ctg(?)-tg(?))2ctg(2?))·tg(2?)+2, если ?/2 < ? < 3?/4;
2) v(cos(2?)/(ctg^2(?)-tg^2(?))), если ?/2 < ? < 3?/4.
Похожие решебники
Популярные решебники 10 класс Все решебники
*размещая тексты в комментариях ниже, вы автоматически соглашаетесь с пользовательским соглашением