Упр.26 ГДЗ Мерзляк 9 класс (Алгебра)
Решение #1 (Учебник 2024)
Решение #2 (Учебник 2021)
Решение #3 (Учебник 2021)
Решение #4 (Учебник 2021)

Рассмотрим вариант решения задания из учебника Мерзляк, Полонская, Якир 9 класс, Просвещение:
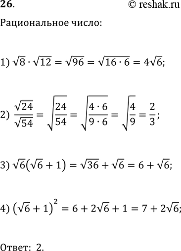
Значение какого изданных выражений является рациональным числом:
1) v8·v12; 2) v24/v54; 3) v6(v6+1); 4) (v6+1)^2?
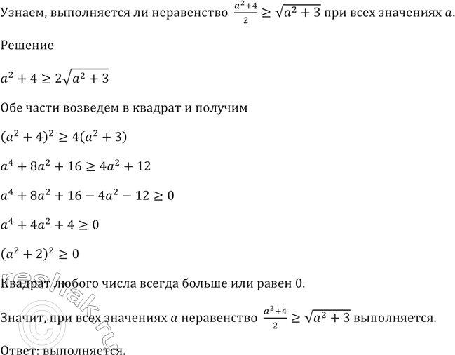
Выполняется ли неравенство (a^2 + 4)/2 >= корень(a^2 + 3) при всех значениях а?
Похожие решебники
Популярные решебники 9 класс Все решебники
*размещая тексты в комментариях ниже, вы автоматически соглашаетесь с пользовательским соглашением