Упр.27 ГДЗ Мерзляк 9 класс (Алгебра)
Решение #1 (Учебник 2024)
Решение #2 (Учебник 2021)
Решение #3 (Учебник 2021)
Решение #4 (Учебник 2021)

Рассмотрим вариант решения задания из учебника Мерзляк, Полонская, Якир 9 класс, Просвещение:
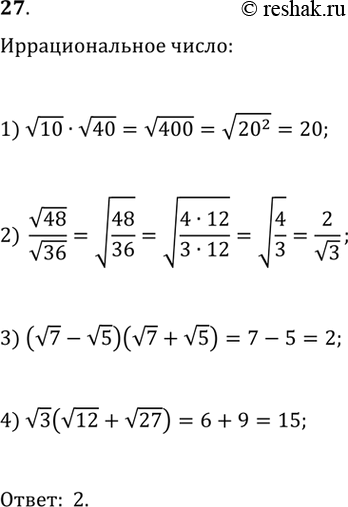
Значение какого из данных выражений является иррациональным числом:
1) v10·v40; 2) v48/v36; 3) (v7-v5)(v7+v5); 4) v3(v12+v27)?
Докажите, что при всех значениях переменной верно неравенство
(а^2 + 2) / корень(a^2 + 1) >= 2.
Похожие решебники
Популярные решебники 9 класс Все решебники
*размещая тексты в комментариях ниже, вы автоматически соглашаетесь с пользовательским соглашением