Упр.32 ГДЗ Мерзляк 9 класс (Алгебра)
Решение #1 (Учебник 2024)
Решение #2 (Учебник 2021)
Решение #3 (Учебник 2021)
Решение #4 (Учебник 2021)

Рассмотрим вариант решения задания из учебника Мерзляк, Полонская, Якир 9 класс, Просвещение:
Найдите значение выражения:
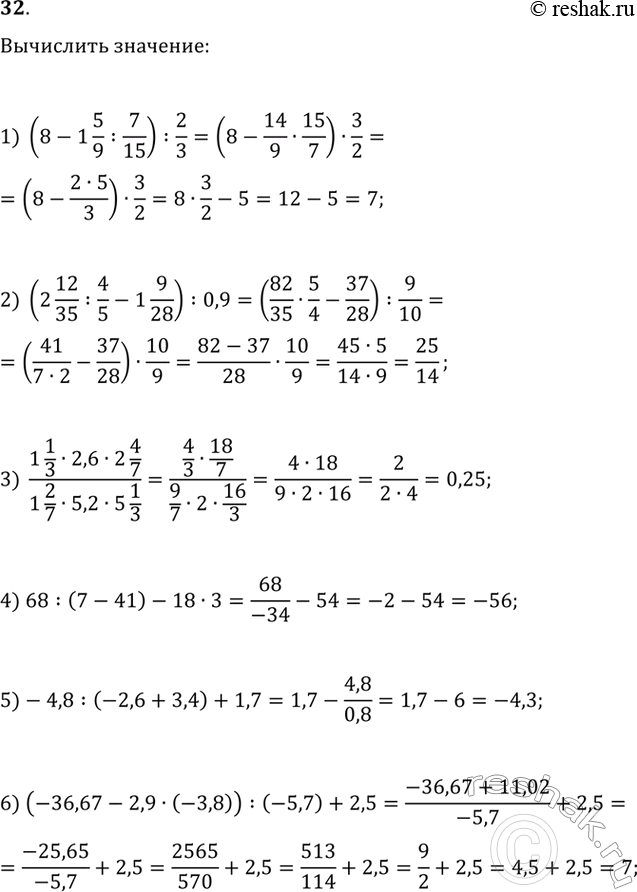
1) (8-1 5/9:7/15):2/3; 4) 68:(7-41)-18·3;
2) (2 12/35:4/5-1 9/28):0,9; 5) -4,8:(-2,6+3,4)+1,7;
3) (1 1/3·2,6·2 4/7)/(1 2/7·5,2·5 1/3); 6) (-36,67-2,9·(-3,8)):(-5,7)+2,5.
Поясните, почему при любых значениях переменной (или переменных) верно неравенство:
1) а^2 >= 0;
2) а^2 + 1 > 0;
3) (а + 1)^2 >= 0;
4) а^2 - 4а + 4 >= 0;
5) а^2 + b^2 >= 0;
6) а^2 + b^2 + 2 > 0;
7) (а - 2)^2 + (b + 1)^2 >= 0;
8) корень(а^2 + 3) > 0.
Похожие решебники
Популярные решебники 9 класс Все решебники
*размещая тексты в комментариях ниже, вы автоматически соглашаетесь с пользовательским соглашением