Упр.254 ГДЗ Мерзляк 8 класс (Алгебра)
Решение #1
Решение #2
Решение #3

Рассмотрим вариант решения задания из учебника Мерзляк, Полонская, Якир 8 класс, Вентана-Граф:
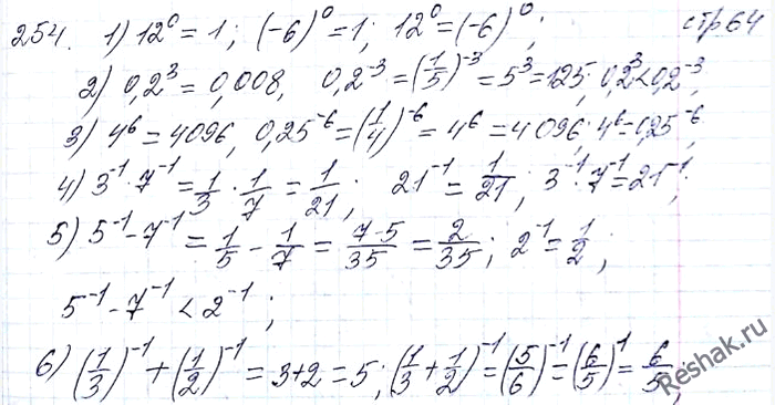
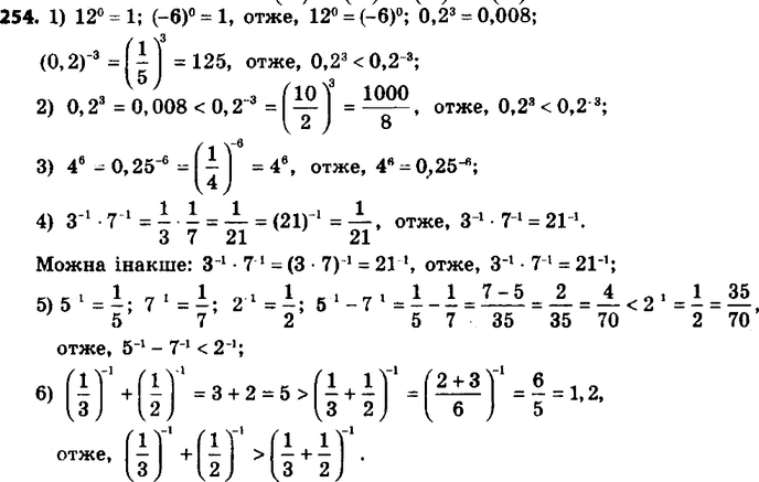
254. Сравните значения выражений:
1) 12^0 и (-6)0;
2) 0,2^3 и 0,2^-3;
3) 4^6 и 0,25^-6;
4) 3^-1 * 7^-1 и 21^-1;
5) 5^-1 - 7^-1 и 2^-1;
6) (1/3)^-1 + (1/2)^-1 и (1/3 + 1/2)^-1.
Похожие решебники
Популярные решебники 8 класс Все решебники
*размещая тексты в комментариях ниже, вы автоматически соглашаетесь с пользовательским соглашением