Упр.255 ГДЗ Мерзляк Полонский 8 класс (Алгебра)
Решение #1 (Учебник 2025)
Решение #2 (Учебник 2025)

Рассмотрим вариант решения задания из учебника Мерзляк, Полонская, Якир 8 класс, Просвещение:
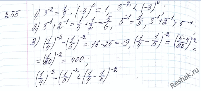
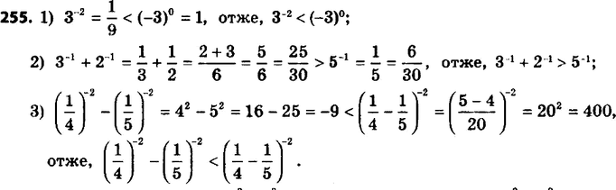
Сравните значения выражений:
1) 3^-2 и (-3)0;
2) 3^-1 + 2^-1 и 5^-1;
3) (1/4)^-2 - (1/5)^-2 и (1/4 - 1/5)^-2.
Похожие решебники
Популярные решебники 8 класс Все решебники
*К сожалению, временные проблемы с публикацией комментариев с мобильных устройств.