Упр.24 ГДЗ Мерзляк 8 класс (Алгебра)
Решение #1
Решение #2
Решение #3

Рассмотрим вариант решения задания из учебника Мерзляк, Полонская, Якир 8 класс, Вентана-Граф:
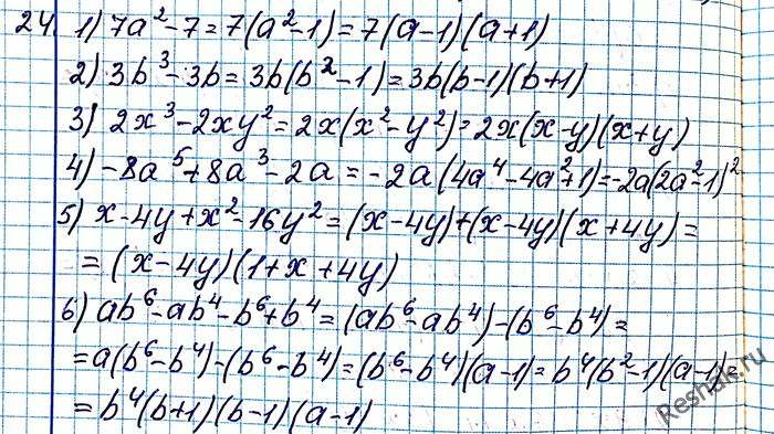
24. Разложите па множители:
1) 7а2 - 7;
2) 3b3 - 3b;
3) 2х3 - 2ху2;
4) -8а5 + 8а3 - 2а;
5) х - 4y + х2 - 16у2;
6) ab6 - ab4 - b6 + b4.
Похожие решебники
Популярные решебники 8 класс Все решебники
*К сожалению, временные проблемы с публикацией комментариев с мобильных устройств.