Упр.23 ГДЗ Мерзляк 8 класс (Алгебра)
Решение #1
Решение #2
Решение #3

Рассмотрим вариант решения задания из учебника Мерзляк, Полонская, Якир 8 класс, Вентана-Граф:
23. Разложите на множители:
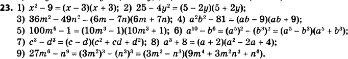
1) х2 - 9;
2) 25 - 4у2;
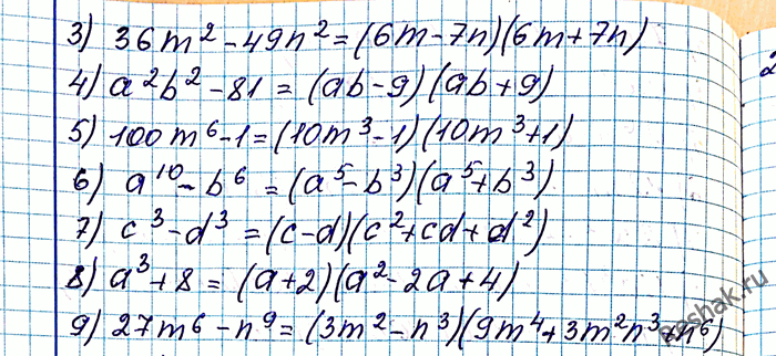
3) 36m2 - 49n2;
4) а2b2 - 81;
5) 100m6 - 1;
6) а10 - b6;
7) с3 - d3;
8) а3 + 8;
9) 27m6 - n9.
Похожие решебники
Популярные решебники 8 класс Все решебники
*размещая тексты в комментариях ниже, вы автоматически соглашаетесь с пользовательским соглашением