Упр.30 ГДЗ Мерзляк 8 класс (Алгебра)
Решение #1
Решение #2
Решение #3

Рассмотрим вариант решения задания из учебника Мерзляк, Полонская, Якир 8 класс, Вентана-Граф:
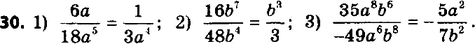
30. Представьте частное в виде дроби и сократите полученную дробь:
1) 6а : (18а5);
2) 16b7 : (48b4);
3) 35а8b6 : (-49а6b8).
Похожие решебники
Популярные решебники 8 класс Все решебники
*размещая тексты в комментариях ниже, вы автоматически соглашаетесь с пользовательским соглашением