Упр.22 ГДЗ Мерзляк 8 класс (Алгебра)
Решение #1
Решение #2
Решение #3

Рассмотрим вариант решения задания из учебника Мерзляк, Полонская, Якир 8 класс, Вентана-Граф:
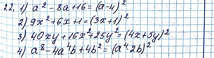
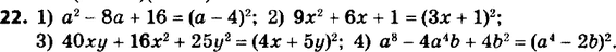
22. Представьте трехчлен в виде квадрата двучлена:
1) а2- 8а + 16;
2) 9x2 + 6х + 1;
3) 40хy + 16x2 + 25y2;
4) а8 - 4а4b + 4b2.
Похожие решебники
Популярные решебники 8 класс Все решебники
*размещая тексты в комментариях ниже, вы автоматически соглашаетесь с пользовательским соглашением