Упр.20 ГДЗ Мерзляк Полонский 8 класс (Алгебра)
Решение #1 (Учебник 2025)
Решение #2 (Учебник 2025)

Рассмотрим вариант решения задания из учебника Мерзляк, Полонская, Якир 8 класс, Просвещение:
Разложите на множители:
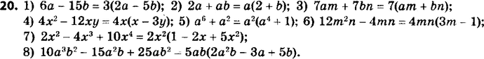
1) 6а - 15b;
2) 2а + аb;
3) 7am + 7bn;
4) 4х2 - 12ху;
5) а6 + а2;
6) 12m2n - 4mn;
7) 2x2 - 4x3 + 10х4;
8) 10a3b2 - 15а2b + 25аb2.
Похожие решебники
Популярные решебники 8 класс Все решебники
*К сожалению, временные проблемы с публикацией комментариев с мобильных устройств.