Упр.21 ГДЗ Мерзляк 8 класс (Алгебра)
Решение #1
Решение #2
Решение #3

Рассмотрим вариант решения задания из учебника Мерзляк, Полонская, Якир 8 класс, Вентана-Граф:
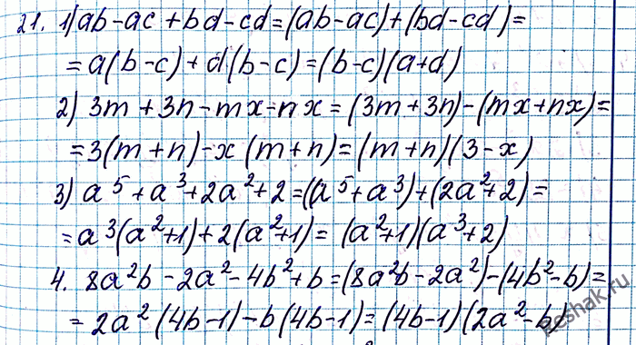
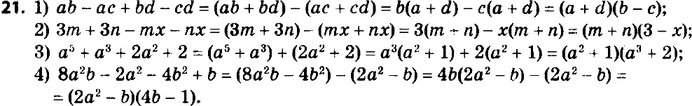
21. Представьте в виде произведения выражение:
1) ab - ас + bd - cd;
2) 3m + 3n - mx - nx;
3) а5 + а3 + 2а2 + 2;
4) 8а2b - 2а2 - 4b2 + b.
Похожие решебники
Популярные решебники 8 класс Все решебники
*размещая тексты в комментариях ниже, вы автоматически соглашаетесь с пользовательским соглашением