Упр.23.21 ГДЗ Мордкович Семенов 11 класс (Алгебра)
Решение #1 (Учебник 2025)

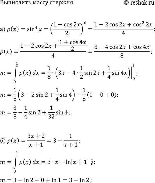
Рассмотрим вариант решения задания из учебника Мордкович, Семенов, Александрова 11 класс, Просвещение:
Дан прямолинейный неоднородный стержень длиной 1 м. Найдите массу стержня, если известна плотность ?(x) в точке x (считая от начала стержня):
а) ?(x) = sin^4 x; б) ?(x) = (3x + 2) / (x + 1).
Похожие решебники
Популярные решебники 11 класс Все решебники
*К сожалению, временные проблемы с публикацией комментариев с мобильных устройств.