Упр.23.17 ГДЗ Мордкович Семенов 11 класс (Алгебра)
Решение #1 (Учебник 2025)
Решение #2 (Учебник 2022)

Рассмотрим вариант решения задания из учебника Мордкович, Семенов, Александрова 11 класс, Просвещение:
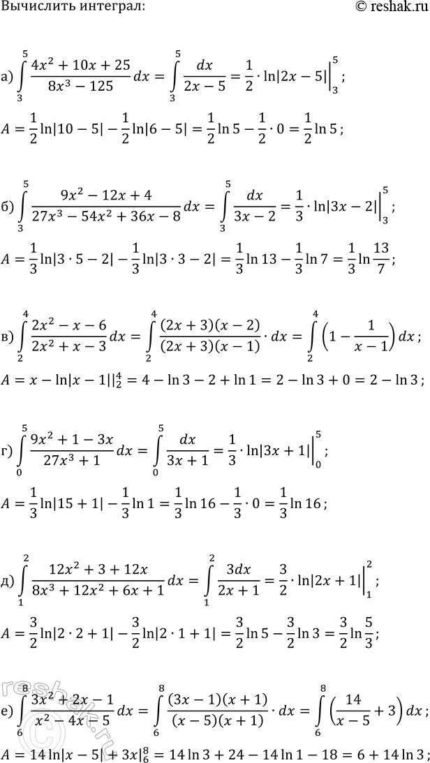
Используя формулу Ньютона - Лейбница, вычислите определенный интеграл:
а) ?((3; 5); (4x^2 + 10x + 25) / (8x^3 - 125) dx);
б) ?((3; 5); (9x^2 - 12x + 4) / (27x^3 - 54x^2 + 36x - 8) dx);
в) ?((2; 4); (2x^2 - x - 6) / (2x^2 + x - 3) dx);
г) ?((0; 5); (9x^2 + 1 - 3x) / (27x^3 + 1) dx);
д) ?((1; 2); (12x^2 + 3 + 12x) / (8x^3 + 12x^2 + 6x + 1) dx);
д) ?((6; 8); (3x^2 + 2x - 1) / (x^2 - 4x - 5) dx).
Решите неравенство:
а) log_(x-2)(8-x)<0;
б) log_(3x)(x-6)>0.
Похожие решебники
Популярные решебники 11 класс Все решебники
*К сожалению, временные проблемы с публикацией комментариев с мобильных устройств.