Упр.23.18 ГДЗ Мордкович Семенов 11 класс (Алгебра)
Решение #1 (Учебник 2025)
Решение #2 (Учебник 2022)

Рассмотрим вариант решения задания из учебника Мордкович, Семенов, Александрова 11 класс, Просвещение:
Используя формулу Ньютона - Лейбница, вычислите определенный интеграл:
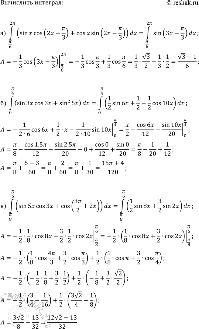
а) ?((?/6; 2?); (sin(x) cos(2x - ?/3) + cos(x) sin(2x - ?/3)) dx);
б) ?((0; ?/4); (sin(3x) cos(3x) + sin^2(5x)) dx);
в) ?((?/8; ?/6); (sin(5x) cos(3x) + cos(3?/2+2x)) dx);
г) ?((?/12; 7?/4); (cos(x + ?/3) cos(x - 5?/6) - sin(x + ?/3) sin(x - 5?/6)) dx);
д) ?((0; ?); (cos^2(3x/2) - sin(x) cos(x) cos(2x)) dx);
е) ?((2?; 2,5?); (2sin(x - ?) + 2sin(3?/2 - x) cos(4? + 5x)) dx).
Найдите расстояние между двумя касательными, проведёнными к графику данной функции перпендикулярно оси ординат:
а) y=(1/3)x^3+2x^2-5x-1/3; б) y=x^3-3x^2-9x+1.
Похожие решебники
Популярные решебники 11 класс Все решебники
*К сожалению, временные проблемы с публикацией комментариев с мобильных устройств.