Упр.23.26 ГДЗ Мордкович Семенов 11 класс (Алгебра)
Решение #1 (Учебник 2025)

Рассмотрим вариант решения задания из учебника Мордкович, Семенов, Александрова 11 класс, Просвещение:
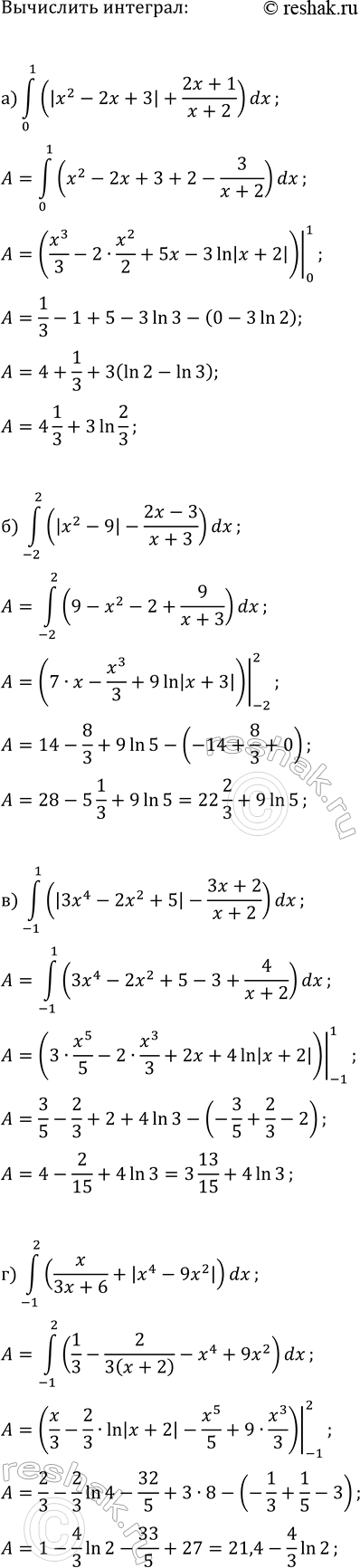
Вычислите:
а) ?((0; 1); (|x^2 - 2x + 3| + (2x + 1) / (x + 2)) dx);
б) ?((-2; 2); (|x^2 - 9| - (2x - 3) / (x + 3)) dx);
в) ?((-1; 1); (|3x^4 - 2x^2 + 5| + (3x + 2) / (x + 2)) dx);
г) ?((-1; 2); (x / (3x + 6) + |x^4 - 9x^2|) dx).
Похожие решебники
Популярные решебники 11 класс Все решебники
*К сожалению, временные проблемы с публикацией комментариев с мобильных устройств.