Упр.23.25 ГДЗ Мордкович Семенов 11 класс (Алгебра)
Решение #1 (Учебник 2025)

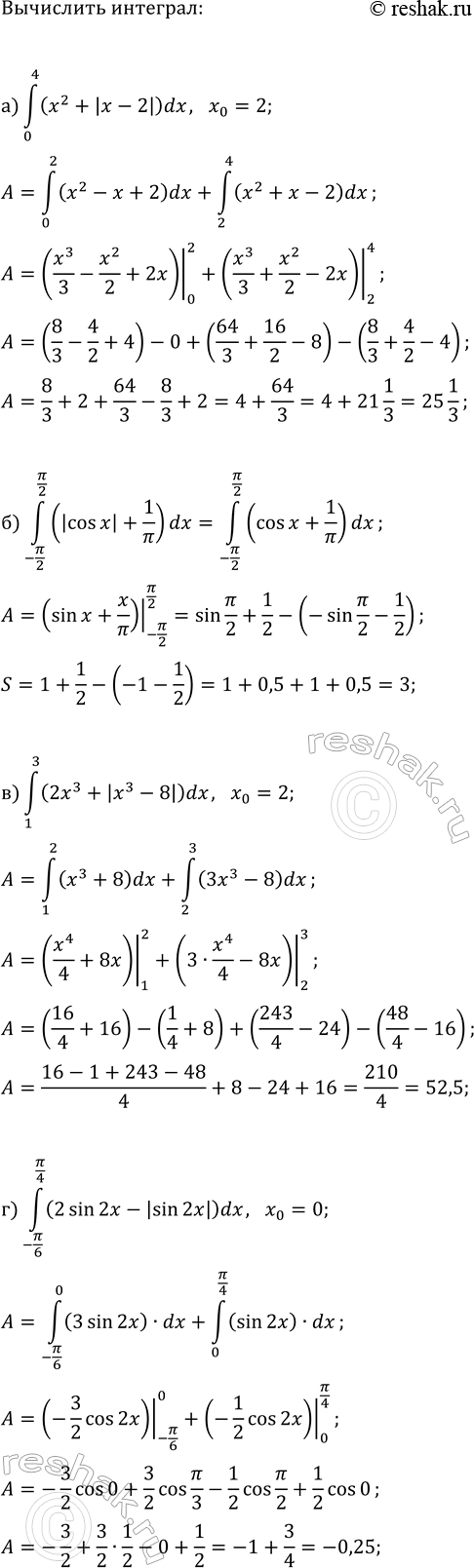
Рассмотрим вариант решения задания из учебника Мордкович, Семенов, Александрова 11 класс, Просвещение:
Вычислите:
а) ?((0; 4); (x^2 + |x - 2|) dx); в) ?((1; 3); (2x^3 + |x^3 - 8|) dx);
б) ?((-?/2; ?/2); (|cos x| + 1/?) dx); г) ?((-?/6; ?/4); (2sin(2x)-|sin(2x)|) dx).
Похожие решебники
Популярные решебники 11 класс Все решебники
*К сожалению, временные проблемы с публикацией комментариев с мобильных устройств.