Упр.22.13 ГДЗ Мордкович Семенов 11 класс (Алгебра)
Решение #1 (Учебник 2025)
Решение #2 (Учебник 2022)

Рассмотрим вариант решения задания из учебника Мордкович, Семенов, Александрова 11 класс, Просвещение:
Найдите множество всех первообразных заданной функции.
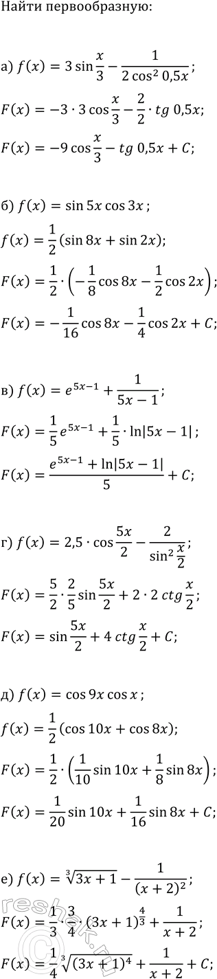
а) f(x) = 3sin(x/3) - 1 / (2cos^2 (0,5x)); г) f(x) = 2,5cos(5x/2) - 2 / (sin^2 (x/2));
б) f(x) = sin 5x cos 3x; д) f(x) = cos 9x cos x;
в) f(x) = e^(5x-1) - 1 / (5x - 1); е) f(x) = (3x + 1)^(1/3) - 1 / (x + 2)^2.
Используя формулу Ньютона — Лейбница, вычислите определённый интеграл:
а) (?/4,3?/4)?cos(x/3-?/12)dx; г) (?/12,?/4)?3sin(3x+?/4)dx;
б) (0,?/4)?2/sin^2(2x+?/4)dx; д) (-?/6,0)?1/(2cos^2(x/2-?/4))dx;
в) -(-?/3,?/3)?sin(x)cos(x)dx; е) (?/12,?/4)?(sin^2(x)-cos^2(x))dx.
Похожие решебники
Популярные решебники 11 класс Все решебники
*К сожалению, временные проблемы с публикацией комментариев с мобильных устройств.