Упр.22.19 ГДЗ Мордкович Семенов 11 класс (Алгебра)
Решение #1 (Учебник 2025)
Решение #2 (Учебник 2022)

Рассмотрим вариант решения задания из учебника Мордкович, Семенов, Александрова 11 класс, Просвещение:
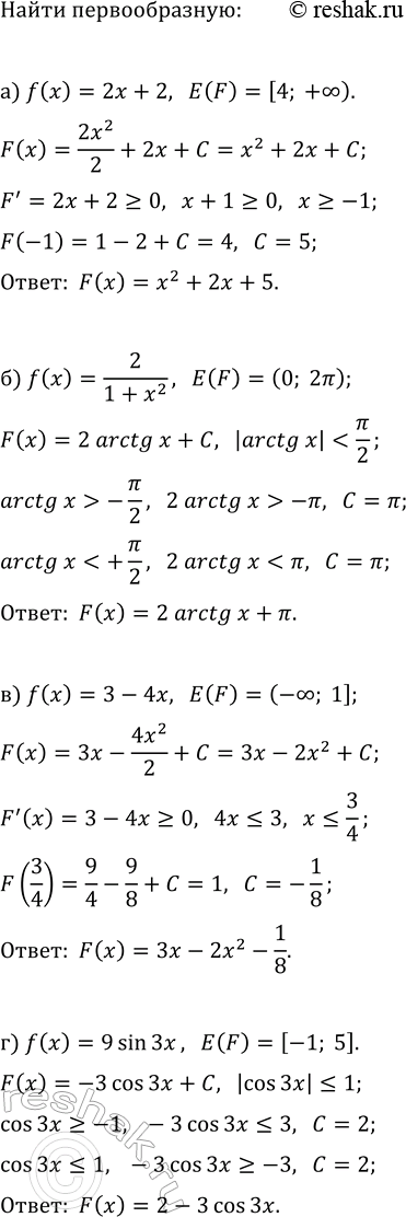
Для функции y = f(x) найдите первообразную y = F(x) с заданной областью значений E(F):
а) f(x) = 2x + 2, E(F) = [4; +?); б) f(x) = 2 / (1 + x^2), E(F) = (0; 2?);
в) f(x) = 3 - 4x, E(F) = (-?; 1]; г) f(x) = 9sin 3x, E(F) = [-1; 5].
Используя аддитивное свойство определённого интеграла, вычислите (a,b)?f(x)dx:
а) f(x)={1/cos^2(x), -?/4?x?0; 1+sin(x), 0<x??/3};
б) f(x)={cos(x), 0?x??/2; 1/sin^2(x)-1, ?/2<x?3?/4}.
Похожие решебники
Популярные решебники 11 класс Все решебники
*К сожалению, временные проблемы с публикацией комментариев с мобильных устройств.