🔥ГДЗ под запретом?

Упр.22 ГДЗ Никольский Потапов 9 класс (Алгебра)

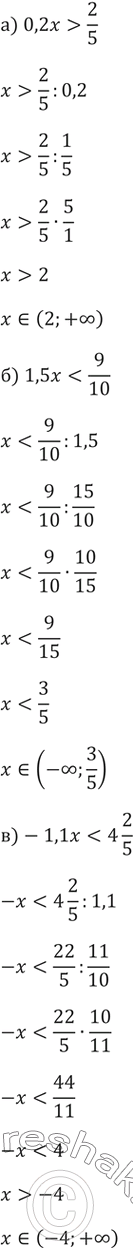
Решение #1

Изображение 22. а) 0,2x>2/5   б) 1,5x7/12  ...
Дополнительное изображение

Решение #2

Изображение 22. а) 0,2x>2/5   б) 1,5x7/12  ...
Дополнительное изображение

Рассмотрим вариант решения задания из учебника Никольский, Потапов 9 класс, Просвещение:
22.
а) 0,2x > 2/5
б) 1,5x < 9/10
в)-1,1x < 42/5
г) x/2 > 3
д) x/4 > 7/12
е)-2x/3 < -8
*Цитирирование задания со ссылкой на учебник производится исключительно в учебных целях для лучшего понимания разбора решения задания.
*К сожалению, временные проблемы с публикацией комментариев с мобильных устройств.