🔥ГДЗ под запретом?

Упр.17 ГДЗ Никольский Потапов 9 класс (Алгебра)

Решение #1

Изображение Упр.17 ГДЗ Никольский Потапов 9 класс

Решение #2

Изображение Упр.17 ГДЗ Никольский Потапов 9 класс
Дополнительное изображение

Рассмотрим вариант решения задания из учебника Никольский, Потапов 9 класс, Просвещение:
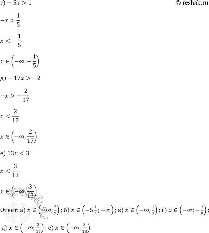
17. а) Зх < 2; б) —2х < 11; в) -4х > —2; г) —5х > 1; д) -17х > -2; е) 13х < 3.
*Цитирирование задания со ссылкой на учебник производится исключительно в учебных целях для лучшего понимания разбора решения задания.
*К сожалению, временные проблемы с публикацией комментариев с мобильных устройств.