🔥ГДЗ под запретом?

Упр.23 ГДЗ Никольский Потапов 9 класс (Алгебра)

Решение #1

Изображение 23.а) 2x-4>0 б) 3x-10  г) 7x+40  ...
Дополнительное изображение

Решение #2

Изображение 23.а) 2x-4>0 б) 3x-10  г) 7x+40  ...
Дополнительное изображение

Рассмотрим вариант решения задания из учебника Никольский, Потапов 9 класс, Просвещение:
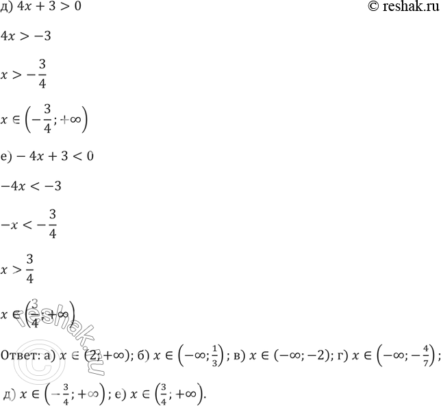
23.
а) 2x-4 > 0
б) 3x-1 < 0
в)-2x-4 > 0
г) 7x+4 < 0
д) 4x+3 > 0
е)-4x+3 < 0
*Цитирирование задания со ссылкой на учебник производится исключительно в учебных целях для лучшего понимания разбора решения задания.
*К сожалению, временные проблемы с публикацией комментариев с мобильных устройств.