🔥ГДЗ под запретом?

Упр.20 ГДЗ Никольский Потапов 9 класс (Алгебра)

Решение #1

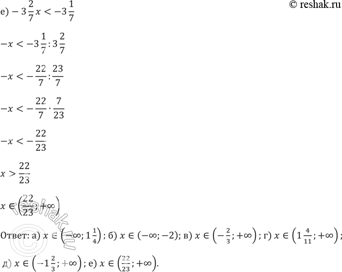
Изображение 20.а) 2/3 x8/7в)-2x3  д) 1 1/2 x>-21/2     е)-3 2/7...
Дополнительное изображение

Решение #2

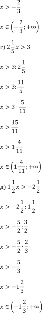
Изображение 20.а) 2/3 x8/7в)-2x3  д) 1 1/2 x>-21/2     е)-3 2/7...
Дополнительное изображение
Дополнительное изображение

Рассмотрим вариант решения задания из учебника Никольский, Потапов 9 класс, Просвещение:
20.
а) 2/3 x < 5/6
б)- 4/7 x > 8/7
в)-2x < 11/3
г) 2 1/5 x > 3
д) 1 1/2 x > -21/2
е)-3 2/7 x < -31/7
*Цитирирование задания со ссылкой на учебник производится исключительно в учебных целях для лучшего понимания разбора решения задания.
*К сожалению, временные проблемы с публикацией комментариев с мобильных устройств.