🔥ГДЗ под запретом?

Упр.16 ГДЗ Никольский Потапов 9 класс (Алгебра)

Решение #1

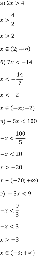
Изображение 16. а) 2х > 4;	б) 7х < -14;	в) -5х < 100; г) -Зх < 9;	д) -2х > -2;	е) -Зх >...

Решение #2

Изображение 16. а) 2х > 4;	б) 7х < -14;	в) -5х < 100; г) -Зх < 9;	д) -2х > -2;	е) -Зх >...
Дополнительное изображение

Рассмотрим вариант решения задания из учебника Никольский, Потапов 9 класс, Просвещение:
16. а) 2х > 4; б) 7х < -14; в) -5х < 100; г) -Зх < 9; д) -2х > -2; е) -Зх > -6.
*Цитирирование задания со ссылкой на учебник производится исключительно в учебных целях для лучшего понимания разбора решения задания.
*К сожалению, временные проблемы с публикацией комментариев с мобильных устройств.