🔥ГДЗ под запретом?

Упр.19 ГДЗ Никольский Потапов 9 класс (Алгебра)

Решение #1

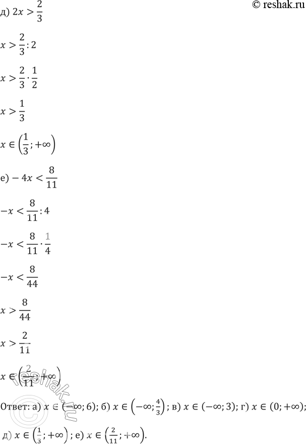
Изображение 19.а) 1/2 x0 д) 2x>2/3   ...
Дополнительное изображение

Решение #2

Изображение 19.а) 1/2 x0 д) 2x>2/3   ...
Дополнительное изображение

Рассмотрим вариант решения задания из учебника Никольский, Потапов 9 класс, Просвещение:
19.
а) 1/2 x < 3
б) 3/4 x < 1
в)-1/3 x > -1
г) 1/5 x > 0
д) 2x > 2/3
е)-4x < 8/11
*Цитирирование задания со ссылкой на учебник производится исключительно в учебных целях для лучшего понимания разбора решения задания.
*К сожалению, временные проблемы с публикацией комментариев с мобильных устройств.