Упр.2.47 ГДЗ Дорофеев Суворова 7 класс (Алгебра)
Решение #1

Рассмотрим вариант решения задания из учебника Дорофеев, Суворова, Бунимович 7 класс, Просвещение:
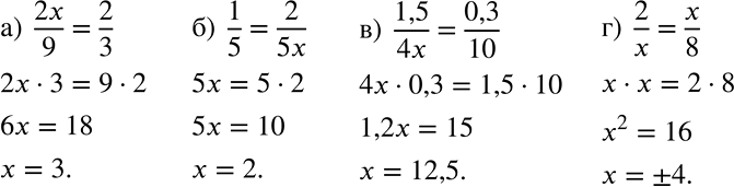
Найдите неизвестное число х, если:
а) 2x/9=2/3;
б) 1/5=2/5x;
в) 1,5/4x=0,3/10;
г) 2/x=x/8.
Популярные решебники 7 класс Все решебники
*размещая тексты в комментариях ниже, вы автоматически соглашаетесь с пользовательским соглашением