Упр.2.46 ГДЗ Дорофеев Суворова 7 класс (Алгебра)
Решение #1

Рассмотрим вариант решения задания из учебника Дорофеев, Суворова, Бунимович 7 класс, Просвещение:
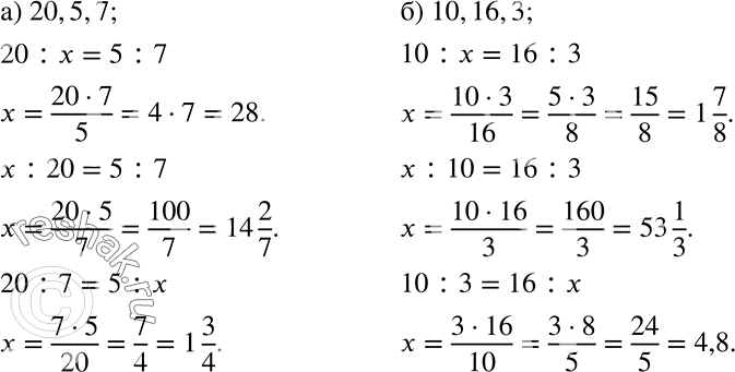
Для каждой тройки чисел найдите четвёртое число так, чтобы из этих четырёх чисел можно было составить пропорцию:
а) 20, 5, 7; б) 10, 16, 3.
Сколько таких чисел вы нашли в каждом случае?
Популярные решебники 7 класс Все решебники
*размещая тексты в комментариях ниже, вы автоматически соглашаетесь с пользовательским соглашением