Упр.2.41 ГДЗ Дорофеев Суворова 7 класс (Алгебра)
Решение #1

Рассмотрим вариант решения задания из учебника Дорофеев, Суворова, Бунимович 7 класс, Просвещение:
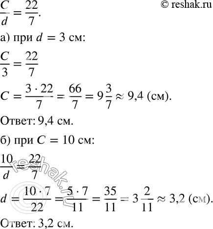
В любой окружности отношение длины окружности к её диаметру одно и то же и приближённо равно 22/7.
а) Определите длину окружности, диаметр которой равен 3 см.
б) При каком диаметре длина окружности равна 10 см? (Ответы округляйте до десятых.)
Популярные решебники 7 класс Все решебники
*размещая тексты в комментариях ниже, вы автоматически соглашаетесь с пользовательским соглашением