🔥ГДЗ под запретом?

Упр.2.342 ГДЗ Виленкин Жохов 6 класс Часть 1, Просвещение (Математика)

Решение #1 (Учебник 2023)

Изображение В бензобаке было 42,5 л бензина. По дороге в деревню было израсходовано 0,3 бензина. Сколько литров бензина осталось?Для того, чтобы найти часть от числа, выраженную...

Решение #2 (Учебник 2023)

Изображение В бензобаке было 42,5 л бензина. По дороге в деревню было израсходовано 0,3 бензина. Сколько литров бензина осталось?Для того, чтобы найти часть от числа, выраженную...
Дополнительное изображение

Решение #3 (Учебник 2023)

Изображение В бензобаке было 42,5 л бензина. По дороге в деревню было израсходовано 0,3 бензина. Сколько литров бензина осталось?Для того, чтобы найти часть от числа, выраженную...

Решение #4 (Учебник 2021)

Изображение В бензобаке было 42,5 л бензина. По дороге в деревню было израсходовано 0,3 бензина. Сколько литров бензина осталось?Для того, чтобы найти часть от числа, выраженную...

Решение #5 (Учебник 2021)

Изображение В бензобаке было 42,5 л бензина. По дороге в деревню было израсходовано 0,3 бензина. Сколько литров бензина осталось?Для того, чтобы найти часть от числа, выраженную...

Решение #6 (Учебник 2021)

Изображение В бензобаке было 42,5 л бензина. По дороге в деревню было израсходовано 0,3 бензина. Сколько литров бензина осталось?Для того, чтобы найти часть от числа, выраженную...

Рассмотрим вариант решения задания из учебника Виленкин, Жохов, Чесноков 6 класс, Просвещение:
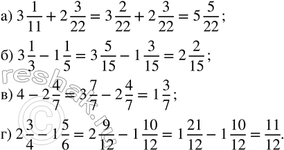
Выполните действия:
а) 3 1/11 + 2 3/22; б) 3 1/3 - 1 1/5; в) 4 - 2 4/7; г) 2 3/4 - 1 5/6.

В бензобаке было 42,5 л бензина. По дороге в деревню было израсходовано 0,3 бензина. Сколько литров бензина осталось?

Для того, чтобы найти часть от числа, выраженную десятичной дробью, необходимо умножить число на эту дробь.
В бензобаке было 42,5 л бензина.
По дороге в деревню было израсходовано 0,3 бензина.
Значит, было израсходовано
42,5•0,3=12,75 (л) - бензина.
Для того, чтобы перемножить две десятичные дроби, необходимо перемножить их как натуральные числа, не обращая внимание на запятые; в полученном произведении отделить запятой справа столько цифр, сколько их стоит после запятых в обоих множителях вместе.
Значит, в бензобаке осталось
42,5-12,75=42,50-12,75=29,75 (л) – бензина.
Ответ: 29,75 л.

*Цитирирование задания со ссылкой на учебник производится исключительно в учебных целях для лучшего понимания разбора решения задания.
*К сожалению, временные проблемы с публикацией комментариев с мобильных устройств.