🔥ГДЗ под запретом?

Упр.2.136 ГДЗ Виленкин Жохов 6 класс Часть 1, Просвещение (Математика)

Решение #1 (Учебник 2023)

Изображение Запишите в виде:а) десятичной дроби 3/4, 7/50, 13/25, 1/8, 17/250, 101/200;б) обыкновенной несократимой дроби 0,3; 0,5; 0,25; 0,28; 0,45; 0,80; 0,04; 0,125; 0,25;...

Решение #2 (Учебник 2023)

Изображение Запишите в виде:а) десятичной дроби 3/4, 7/50, 13/25, 1/8, 17/250, 101/200;б) обыкновенной несократимой дроби 0,3; 0,5; 0,25; 0,28; 0,45; 0,80; 0,04; 0,125; 0,25;...

Решение #3 (Учебник 2021)

Изображение Запишите в виде:а) десятичной дроби 3/4, 7/50, 13/25, 1/8, 17/250, 101/200;б) обыкновенной несократимой дроби 0,3; 0,5; 0,25; 0,28; 0,45; 0,80; 0,04; 0,125; 0,25;...

Решение #4 (Учебник 2021)

Изображение Запишите в виде:а) десятичной дроби 3/4, 7/50, 13/25, 1/8, 17/250, 101/200;б) обыкновенной несократимой дроби 0,3; 0,5; 0,25; 0,28; 0,45; 0,80; 0,04; 0,125; 0,25;...

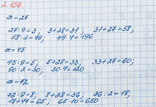
Рассмотрим вариант решения задания из учебника Виленкин, Жохов, Чесноков 6 класс, Просвещение:
Найдите число по схеме алгоритма, если х = 27; х = 45; х = 72.

Запишите в виде:
а) десятичной дроби 3/4, 7/50, 13/25, 1/8, 17/250, 101/200;
б) обыкновенной несократимой дроби 0,3; 0,5; 0,25; 0,28; 0,45; 0,80; 0,04; 0,125; 0,25; 0,75; 0,765.

*Цитирирование задания со ссылкой на учебник производится исключительно в учебных целях для лучшего понимания разбора решения задания.
*К сожалению, временные проблемы с публикацией комментариев с мобильных устройств.